Introduction
The current standard to assess chemotherapy tolerability and health related quality of life (HRQOL) relies on patient (PT) self-reporting. Continuous passive monitoring using mobile wearable devices can objectively aggregate and monitor "activity" over long periods of time without potential reporting bias. Due to the nature of the disease, multiple myeloma (MM) PTs are often ridden with bone disease and pain, thereby limiting activity while impacting HRQOL. In this prospective clinical study, we enrolled 40 newly diagnosed MM PTs and remotely monitored their activity (steps/24 hrs) while administering electronic PT reported outcome (ePRO) surveys at baseline (BL) and through induction therapy. The study aim was to assess whether wearables can establish patterns of physical activity while receiving therapy and how these activity bioprofiles correlate with HRQOL outcomes.
Methods
PTs were eligible for the study if they had newly diagnosed MM, not having received any systemic therapy, and if they owned a device (iOS or Android) compatible with Garmin Vivofit® (GV) device. Regimens were determined by treating physicians. PTs were given GV® devices and asked to download a GV® application and Medidata ePRO app. PTs were assigned to either Cohort A - PTs <65 years or Cohort B - PTs ≥ 65 years. PTs were remotely monitored for physical activity and sleep at BL (1-7 days prior to therapy) and continuously up to 6 cycles of therapy. Additionally, PTs completed ePRO surveys [(EORTC - QLQC30 and MY20) at BL and after each cycle. Activity data and completed ePRO surveys were synced to Medidata Rave through Medidata Sensorlink technology. Responses at the end of cycle 6 were scored by IMWG response categories: > VGPR Responders (Res) vs. < PR Sub-responders (Sub-Res). Associations between physical activity measurements, QLQC30 and MY20 scores, and time from the start of treatment were estimated using a linear mixed model with a random intercept. A Wald-test was used to compute p-values for the significance of association.
Results
Between Feb 2017 and Sep 2019, 40 PTs (21 M and 19 F) were enrolled with 20 in cohort A (mean 54 yrs, 41-64) and 20 in cohort B (mean 71 yrs, 65-82). Treatment regimens included KRd 14(35%), RVd 12(30%), Dara-KRd 8(20%), VCd 5(12.5%), and Rd 1(2.5%). Activity bioprofiles were compiled among 24/40(60%) PTs: 14 full sets (7/7 cycle periods) and 10 partial sets [1 PT - 2/7(28.5%) cycle periods; 2 PTs - 3/7(42.8%); 1 PT - 4/7(57.1%); 2 PTs- 5/7(71.4%); 4 PTs 6/7(85.7%)].
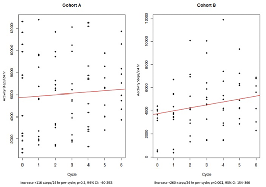
PT activity increased over time by 179 steps/24 hrs per cycle (p=0.001, 95% CI: 68-289) for the entire study. Mean activity pre- vs. post- for cohort A was 6,041 vs. 7,266 steps/24 hrs, respectively with an increase of 116 steps/24 hrs per cycle (p=0.2, 95% CI: -60-293), and for cohort B 2,984 steps/24 hrs vs. 5,007 steps/24 hrs with an increase of 260 steps/24 hrs per cycle (p<0.001, 95% CI: 154-366) (fig 1). There was improvement in activity levels in both Res 169 steps/24 hrs per cycle (p= 0.02, 95% CI: -31-305) and Sub-Res 212 steps/24 hrs per cycle (p= 0.01, 95% CI: 53-371) groups.
PTs reported improvement in ePRO MY20 disease burden symptoms over time, -1.6 score/cycle (p=0.001, 95% CI -2.6- -0.6). There was no observed change in time over self-body image (p=0.5), while PTs reported worsening of future perspective, -2.8 score/cycle (p<0.001, 95% CI -2.6- -0.6). Similarly, there was an observed improvement of QLQC30 global health status, + 1.7 score/cycle (p=0.02, 95% CI: 0.3-3.1) and physical functioning over time +2.1 score/cycle (p<0.001, 95% CI: 1.2-3.0). An association between increased PT activity (steps/24 hrs) and decreased symptom burden was observed (p=0.04). Increased PT activity was also associated with improved global health status (p=0.02) and physical functioning (p<0.001) scores.
Conclusion
Our study demonstrates that passive wearable monitoring can successfully capture PT activity in newly diagnosed MM, and that PT activity bioprofiles correlate well with traditional HRQOL measurements. Of clinical relevance, our study shows that activity bioprofiles improve with therapy, regardless of depth of response. Significant gains in activity were attributable to the older cohort, suggesting a greater functional impact at BL in this population. Future studies are needed to elucidate how mobile wearables may aid the clinician in passive monitoring of therapy tolerability in the outpatient setting.
Korde:Amgen: Research Funding; Astra Zeneca: Membership on an entity's Board of Directors or advisory committees. Mailankody:PleXus Communications: Honoraria; Juno Therapeutics, a Bristol-Myers Squibb Company: Research Funding; Allogene Therapeutics: Research Funding; Janssen Oncology: Research Funding; Takeda Oncology: Research Funding; Physician Education Resource: Honoraria. Hassoun:Novartis: Consultancy; Celgene: Research Funding; Takeda: Research Funding. Lesokhin:Takeda: Consultancy, Honoraria; GenMab: Consultancy, Honoraria; Serametrix Inc.: Patents & Royalties; BMS: Consultancy, Honoraria, Research Funding; Janssen: Research Funding; Juno: Consultancy, Honoraria; Genentech: Research Funding. Lendvai:Janssen: Current Employment. Smith:Bristol Myers Squibb: Consultancy, Patents & Royalties, Research Funding; Fate Therapeutics: Consultancy; Precision Biosciences: Consultancy. Hultcrantz:Daiichi Sankyo: Research Funding; GSK: Research Funding; Intellisphere LLC: Consultancy; Amgen: Research Funding. Shah:Physicians Education Resource: Honoraria; Celgene/BMS: Research Funding. Shah:Amgen: Research Funding; Janssen Pharmaceutica: Research Funding. Giralt:Jazz: Research Funding; Kite: Research Funding; Actinuum: Research Funding; CSL Behring: Research Funding; Pfizer: Research Funding; Quintiles: Research Funding; Janssen: Research Funding; Amgen: Research Funding; Sanofi: Research Funding; Celgene: Research Funding; Adienne: Research Funding. Landgren:Adaptive: Consultancy, Honoraria; Amgen: Consultancy, Honoraria, Research Funding; Celgene: Consultancy, Honoraria, Research Funding; Janssen: Consultancy, Honoraria, Other: Independent Data Monitoring Committees for clinical trials, Research Funding; Takeda: Other: Independent Data Monitoring Committees for clinical trials, Research Funding; Glenmark: Consultancy, Honoraria, Research Funding; Celgene: Consultancy, Honoraria, Research Funding; Seattle Genetics: Research Funding; Janssen: Consultancy, Honoraria, Other: Independent Data Monitoring Committees for clinical trials, Research Funding; Karyopharma: Research Funding; Binding Site: Consultancy, Honoraria; Takeda: Other: Independent Data Monitoring Committees for clinical trials, Research Funding; BMS: Consultancy, Honoraria; Cellectis: Consultancy, Honoraria; Glenmark: Consultancy, Honoraria, Research Funding; Juno: Consultancy, Honoraria; Seattle Genetics: Research Funding; Pfizer: Consultancy, Honoraria; Merck: Other; Karyopharma: Research Funding; Binding Site: Consultancy, Honoraria; BMS: Consultancy, Honoraria; Cellectis: Consultancy, Honoraria; Juno: Consultancy, Honoraria; Pfizer: Consultancy, Honoraria; Merck: Other.
Author notes
Asterisk with author names denotes non-ASH members.

This feature is available to Subscribers Only
Sign In or Create an Account Close Modal